
【药品名称】
通用名称:胞磷胆碱钠葡萄糖注射液
英文名称:Citicoline Sodium and Glucose Injection
汉语拼音:Baolindanjianna Putaotang zhusheye
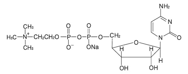
【成份】本品主要成份为胆碱胞嘧啶核苷二磷酸酯的单钠盐。
化学结构式:

分子式:C14H25N4NaO11P2
分子量:510.31
【性状】本品为无色或几乎无色的澄明液体。
【适应症】本品主要用于急性颅脑外伤和脑手术后意识障碍。
【规格】50ml:胞磷胆碱钠0.25g与葡萄糖2.5g。
【用法用量】静脉滴注:每次0.25~0.5g,每日1次,缓慢滴注。5~10日为一疗程。本品渗透压摩尔浓度为285~310mOsmol/kg,与人体血液相当。临床医生可凭据实际需要对所用制剂进行适当地处置。
【不良反映】
全身:偶见发烧、倦怠、过敏样反映,严重者有过敏性休克的陈诉。
心血管系统:偶见暂时性血压下降、心动过缓和心动过速。
消化系统:偶见恶心、呕吐、食欲不振、胃痛、胃烧灼感、腹泻和肝功效异常。
呼吸系统:有发生过敏性哮喘的陈诉,严重者可泛起呼吸困难和喉水肿。
神经系统:偶见眩晕、震颤、头痛、失眠、兴奋、急躁不安和痉挛。
皮肤五官:偶见皮疹及一过性复视。
【禁忌】对本品过敏者禁用;糖尿病患者禁用。
【注意事项】有药物过敏史的患者慎用;对伴有脑出血、脑水肿和颅压增高的严重急性颅脑损伤患者慎用;癫痫及低血压患者应慎用;滴注速度应缓慢;本品为含钠制剂需低钠者应用时请注意。
【孕妇及哺乳期妇女用药】孕妇及哺乳期妇女用药的宁静有效性尚未确立。孕妇及哺乳期妇女慎用。
【儿童用药】凭据病情和年龄适当调整剂量。
【老年用药】凭据病情和年龄适当调整剂量。
【药物相互作用】本品用于震颤麻痹病人时,不宜与左旋多巴合用,否则可引起肌僵直恶化。与脑多肽合用,对改善脑功效有协同作用。
【药物过量】用量过大,可能有恶心、呕吐、食欲不振、头痛失眠、兴奋、痉挛等症状,可减量,并对症处置。
【药理毒理】胞磷胆碱为核苷衍生物,可增强脑干网状结构、尤其是与意识密切相关的上行网状结构激动系统的机能;增强椎体系统的机能,改善运动麻痹;改善大脑循环通过减少大脑血流阻力,增加大脑血流而促进大脑物质代谢,对促进大脑功效恢复和促进苏醒等具有一定作用。
【药代动力学】本品注射后血药浓度迅速下降,30分钟降至注入时的1/3,1~2小时基本稳定,漫衍以肝内最多,占10%。在肝脏代谢为游离胆碱和胞苷二磷酸,主要经肾脏和肺清除,原药半衰期为3.5小时,主要代谢物胆碱的清除半衰期为2小时。本品较难通过血脑屏障,进入脑内的药物很少,仅占0.1%,但药物在脑内停留时间很长,注射后3小时内药物浓度达峰值,并在24小时内保持稳定;而且损伤脑比正常脑、受损半球比未受损半球的胞磷胆碱含量明显升高。
【贮藏】遮光,密闭(10~30°C)生存。
【包装】玻璃输液瓶装。
【有效期】24个月
【执行尺度】《中国药典》2020年版二部
【批准文号】国药准字H20030647
【上市许可持有人】
名称:山西cq9电子官网入口泰盛制药有限公司
注册地址:山西省大同市经济技术开发区第一医药园区
【生产企业】
企业名称:山西cq9电子官网入口泰盛制药有限公司
生产地址:山西省大同市经济技术开发区第一医药园区
邮政编码:037300
电话号码:0352-7290991
传真号码:0352-7290990

【药品名称】
通用名称:胞磷胆碱钠葡萄糖注射液
英文名称:Citicoline Sodium and Glucose Injection
汉语拼音:Baolindanjianna Putaotang zhusheye
【成份】本品主要成份为胆碱胞嘧啶核苷二磷酸酯的单钠盐。
化学结构式:

分子式:C14H25N4NaO11P2
分子量:510.31
【性状】本品为无色或几乎无色的澄明液体。
【适应症】本品主要用于急性颅脑外伤和脑手术后意识障碍。
【规格】50ml:胞磷胆碱钠0.25g与葡萄糖2.5g。
【用法用量】静脉滴注:每次0.25~0.5g,每日1次,缓慢滴注。5~10日为一疗程。本品渗透压摩尔浓度为285~310mOsmol/kg,与人体血液相当。临床医生可凭据实际需要对所用制剂进行适当地处置。
【不良反映】
全身:偶见发烧、倦怠、过敏样反映,严重者有过敏性休克的陈诉。
心血管系统:偶见暂时性血压下降、心动过缓和心动过速。
消化系统:偶见恶心、呕吐、食欲不振、胃痛、胃烧灼感、腹泻和肝功效异常。
呼吸系统:有发生过敏性哮喘的陈诉,严重者可泛起呼吸困难和喉水肿。
神经系统:偶见眩晕、震颤、头痛、失眠、兴奋、急躁不安和痉挛。
皮肤五官:偶见皮疹及一过性复视。
【禁忌】对本品过敏者禁用;糖尿病患者禁用。
【注意事项】有药物过敏史的患者慎用;对伴有脑出血、脑水肿和颅压增高的严重急性颅脑损伤患者慎用;癫痫及低血压患者应慎用;滴注速度应缓慢;本品为含钠制剂需低钠者应用时请注意。
【孕妇及哺乳期妇女用药】孕妇及哺乳期妇女用药的宁静有效性尚未确立。孕妇及哺乳期妇女慎用。
【儿童用药】凭据病情和年龄适当调整剂量。
【老年用药】凭据病情和年龄适当调整剂量。
【药物相互作用】本品用于震颤麻痹病人时,不宜与左旋多巴合用,否则可引起肌僵直恶化。与脑多肽合用,对改善脑功效有协同作用。
【药物过量】用量过大,可能有恶心、呕吐、食欲不振、头痛失眠、兴奋、痉挛等症状,可减量,并对症处置。
【药理毒理】胞磷胆碱为核苷衍生物,可增强脑干网状结构、尤其是与意识密切相关的上行网状结构激动系统的机能;增强椎体系统的机能,改善运动麻痹;改善大脑循环通过减少大脑血流阻力,增加大脑血流而促进大脑物质代谢,对促进大脑功效恢复和促进苏醒等具有一定作用。
【药代动力学】本品注射后血药浓度迅速下降,30分钟降至注入时的1/3,1~2小时基本稳定,漫衍以肝内最多,占10%。在肝脏代谢为游离胆碱和胞苷二磷酸,主要经肾脏和肺清除,原药半衰期为3.5小时,主要代谢物胆碱的清除半衰期为2小时。本品较难通过血脑屏障,进入脑内的药物很少,仅占0.1%,但药物在脑内停留时间很长,注射后3小时内药物浓度达峰值,并在24小时内保持稳定;而且损伤脑比正常脑、受损半球比未受损半球的胞磷胆碱含量明显升高。
【贮藏】遮光,密闭(10~30°C)生存。
【包装】玻璃输液瓶装。
【有效期】24个月
【执行尺度】《中国药典》2020年版二部
【批准文号】国药准字H20030647
【上市许可持有人】
名称:山西cq9电子官网入口泰盛制药有限公司
注册地址:山西省大同市经济技术开发区第一医药园区
【生产企业】
企业名称:山西cq9电子官网入口泰盛制药有限公司
生产地址:山西省大同市经济技术开发区第一医药园区
邮政编码:037300
电话号码:0352-7290991
传真号码:0352-7290990
