
【药品名称】通用名称:曲克芦丁注射液
英文名称:Troxerutin lnjection
汉语拼音:Qukeluding Zhusheye
【成份】本品主要成份为曲克芦丁。
化学名称为:3’,4’,7-三[O-(2-羟乙基)-5羟基黄酮-3]-芸香苷。
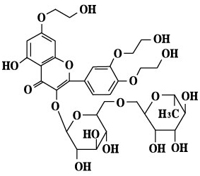
化学结构式:

分子式:C33H42O19
分子量:742.68
【性状】本品为黄色或黄绿色的澄明液体。
【适应症】用于闭塞综合征、血栓性静脉炎、毛细血管出血等。
【规格】10ml:300mg
【用法用量】肌内注射:一次60~150mg,一日2次。20日为1疗程,可用1~3个疗程,每疗程间隔3~7天。静脉滴注:一次240~360mg,一日1次。用5%~10%葡萄糖注射液或低分子右旋糖酐注射液稀释后滴注。
【不良反映】1、消化系统:恶心、呕吐、腹痛等,有肝生化指标异常病例陈诉。2、呼吸系统:胸闷、憋气、呼吸困难、呼吸急促。3、全身性反映:寒战、发烧、水肿、过敏反映、过敏性休克等。4、皮肤:皮疹、瘙痒、荨麻疹、红斑疹、斑丘疹、多形性红斑等。5、神经系统:头晕、头痛、震颤、意识模糊等。6、心血管系统:心悸、紫绀、心律失常等。7、其他:潮红、紫癜。
【禁忌】对本品过敏或有严重不良反映病史者禁用。
【注意事项】1、用药期间制止阳光直射、高温及过久站立。2、当药品性状发生改变时禁止使用。3、用药前仔细询问患者有无家族过敏史和既往药物过敏史,过敏体质患者应谨慎用药,如确需用药,应在用药过程中加强监护。4、加强对首次用药患者和老年患者,及肝肾功效障碍患者的监护。5、用药后一旦泛起潮红、皮疹、心悸、胸闷、憋气、血压下降等可能与严重不良反映有关的症状时,应立即停药并及时救治。
【孕妇及哺乳期妇女用药】尚不明确。
【儿童用药】尚不明确。
【老年用药】尚不明确。
【药物相互作用】尚不明确。
【药物过量】尚不明确。
【药理毒理】本品能抑制血小板的聚集,有防止血栓形成的作用。同时能反抗5-羟色胺、缓激肽引起的血管损伤,增加毛细血管反抗力,降低毛细血管通透性,可防止血管通透性升高引起的水肿。
【药代动力学】血浆卵白结合率为30%左右,消除相半衰期(t1/2β)10~25小时,可能存在肠肝循环,代谢产物70%随粪便排出体外。
【贮藏】遮光,密闭,在阴凉(不凌驾20℃)处生存。
【包装】安瓿装。5支/盒。
【有效期】24个月
【执行尺度】WS-10001-(HD-0706)-2002-2017
【批准文号】国药准字H14023036
【药品上市许可持有人】山西cq9电子官网入口泰盛制药有限公司
【药品上市许可持有人地址】山西省大同市经济技术开发区第一医药园区
【生产企业】企业名称:山西cq9电子官网入口泰盛制药有限公司
生产地址:山西省大同市经济技术开发区第一医药园区
邮政编码:037300
电话号码:0352-7290991
传真号码:0352-7290990

【药品名称】通用名称:曲克芦丁注射液
英文名称:Troxerutin lnjection
汉语拼音:Qukeluding Zhusheye
【成份】本品主要成份为曲克芦丁。
化学名称为:3’,4’,7-三[O-(2-羟乙基)-5羟基黄酮-3]-芸香苷。
化学结构式:

分子式:C33H42O19
分子量:742.68
【性状】本品为黄色或黄绿色的澄明液体。
【适应症】用于闭塞综合征、血栓性静脉炎、毛细血管出血等。
【规格】10ml:300mg
【用法用量】肌内注射:一次60~150mg,一日2次。20日为1疗程,可用1~3个疗程,每疗程间隔3~7天。静脉滴注:一次240~360mg,一日1次。用5%~10%葡萄糖注射液或低分子右旋糖酐注射液稀释后滴注。
【不良反映】1、消化系统:恶心、呕吐、腹痛等,有肝生化指标异常病例陈诉。2、呼吸系统:胸闷、憋气、呼吸困难、呼吸急促。3、全身性反映:寒战、发烧、水肿、过敏反映、过敏性休克等。4、皮肤:皮疹、瘙痒、荨麻疹、红斑疹、斑丘疹、多形性红斑等。5、神经系统:头晕、头痛、震颤、意识模糊等。6、心血管系统:心悸、紫绀、心律失常等。7、其他:潮红、紫癜。
【禁忌】对本品过敏或有严重不良反映病史者禁用。
【注意事项】1、用药期间制止阳光直射、高温及过久站立。2、当药品性状发生改变时禁止使用。3、用药前仔细询问患者有无家族过敏史和既往药物过敏史,过敏体质患者应谨慎用药,如确需用药,应在用药过程中加强监护。4、加强对首次用药患者和老年患者,及肝肾功效障碍患者的监护。5、用药后一旦泛起潮红、皮疹、心悸、胸闷、憋气、血压下降等可能与严重不良反映有关的症状时,应立即停药并及时救治。
【孕妇及哺乳期妇女用药】尚不明确。
【儿童用药】尚不明确。
【老年用药】尚不明确。
【药物相互作用】尚不明确。
【药物过量】尚不明确。
【药理毒理】本品能抑制血小板的聚集,有防止血栓形成的作用。同时能反抗5-羟色胺、缓激肽引起的血管损伤,增加毛细血管反抗力,降低毛细血管通透性,可防止血管通透性升高引起的水肿。
【药代动力学】血浆卵白结合率为30%左右,消除相半衰期(t1/2β)10~25小时,可能存在肠肝循环,代谢产物70%随粪便排出体外。
【贮藏】遮光,密闭,在阴凉(不凌驾20℃)处生存。
【包装】安瓿装。5支/盒。
【有效期】24个月
【执行尺度】WS-10001-(HD-0706)-2002-2017
【批准文号】国药准字H14023036
【药品上市许可持有人】山西cq9电子官网入口泰盛制药有限公司
【药品上市许可持有人地址】山西省大同市经济技术开发区第一医药园区
【生产企业】企业名称:山西cq9电子官网入口泰盛制药有限公司
生产地址:山西省大同市经济技术开发区第一医药园区
邮政编码:037300
电话号码:0352-7290991
传真号码:0352-7290990
